Used for NR, IR, BR, SBR, NBR, HR, EPDM and natural & synthetic latexes. Stronger accelerating power than TMTD. Strong resistance to scorching. In its handling, care should be operated, because of its increase activation and strong tendency to scorch at low temperatures (100οC). Often used as a secondary accelerator. In latex, better results are obtained when used in combination with other types such as thiazole accelerators. Used for rubber coated fabrics, latex products and rubber cement, etc.
Product Name: Rubber Accelerator ZDMC(PZ)
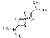
Chemical Name: Zinc dimethyl dithiocarbamate
CAS No.: 137-30-4
Appearance: White powder(granule)
Molecular Formula: C6H12N2S4Zn
Structural formula:

Packaging: 25kg plastic woven bag, paper with plastic film bag, kraft paper bag.
